家里移动信号太差这样做(信号差网络卡看移动人如何帮你把信号拉满本周五2120)
来源:【河北卫视】视频加载中...本文来自【河北卫视】,仅代表作者观点。全国党媒信息公共平台提供信息发布传播服务。ID:jrtt...
dnf辅助装备附魔有哪些
DNF辅助装备附魔的宝珠有哪些?怎么选择 DNF中,辅助装备和魔法石的附魔选择需根据角色职业特性来决定,以狂战士为例,推荐如下:辅助装备(左槽):力量提升:对于狂战士这类物理职业,力量是基础属性之一,因此可以选择附魔...
报考会计资格证怎么报名
考会计从业资格证哪里报名 1、照片要求:上传的相片必须为近期证件照,且符合网站要求的格式和大小。照片质量将影响考生的报名审核结果。咨询渠道:对于报名过程中遇到的任何问题,考生可及时向当地财政部门或考试机构咨询,以获取...
汉语的相关知识(最全的四大文学常识)
中国传统文化源远流长,博大精深,今天,宋词君总结了一些“四大”常识。你知道四大名绣、四大名楼都有哪些?初唐四杰、千古文章四大家都是谁?四书、四史是哪几部?四大名桥、四大名园指的是哪里?……答不上来?了解中华文化,看了...
观察植物日记300字怎么写
观察植物的日记怎么写300字三年级 《我的植物朋友桃花》冬爷爷收走了它雪白的棉被,春姑娘给大地披上一件绿色的披风,桃花便是披风中用最美丽的图案。远远的,我看见满树的桃花如同彩色的云朵一样神秘。走进桃花林,便看见有的桃...
大学生自我评价范文大全
自我评价800字大学生大一范本大全一 珍贵的大一生活结束了,觉得自己很有必要鉴定一下自己一年的得失,从中继承好的习惯,改正不足的地方,自己再回头看自己走过的路时,更能清楚的看清未来要走的路 一学习方面 刚进入大学后,...
征文与作文的区别有什么不同(申论作文≠普通议论文两大核心区别与真题详解2025国考必看)
申论作文≠普通议论文!两大核心区别与真题实例详解(2025国考必看)材料以2024国考地市级真题为例:一、材料根基:自由发挥 vs 紧扣给定资料• 普通议论文:材料是“启发点”,重在自由表达。例如写“乡村文化”,可引...
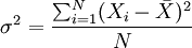
方差是什么意思(什么是方差)
什么是方差(Variance)?方差和标准差是测度数据变异程度的最重要、最常用的指标。方差是各个数据与其算术平均数的离差平方和的平均数,通常以σ2表示。方差的计量单位和量纲不便于从经济意义上进行解释,所以实际统计工作...


京公网安备11000000000001号
京ICP备11000001号