环境工程师报考条件是什么
二环评工程师报考条件 取得环境保护相关专业新旧专业对照表可参考官方文件大专学历,从事环境影响评价工作满7年或取得其他专业大专学历,从事环境影响评价工作满8年取得环境保护相关专业本科学历,从事环境影响评价工作满5年或取...
老婆生日送什么礼物最好
1、甜蜜的巧克力寓意着你们爱情的甜蜜和温馨这些礼物不仅体现了你的用心,还能根据她的兴趣和需求,增加生活的乐趣和惊喜记得,礼物的价值不在于价格,而在乎那份心意祝你的老婆生日快乐,你们的感情因这些礼物而更加深厚更多灵感敬...
珊瑚红口红是什么颜色的
1、珊瑚红口红是一种带有红色基调但比大红稍淡的颜色,它融合了红色和微量的橙色元素,呈现出一种既活力又不失柔和的色彩以下是关于珊瑚红口红颜色的具体说明颜色定位珊瑚红属于红色系,但相较于纯正的大红色,它的色调更为柔和,带...
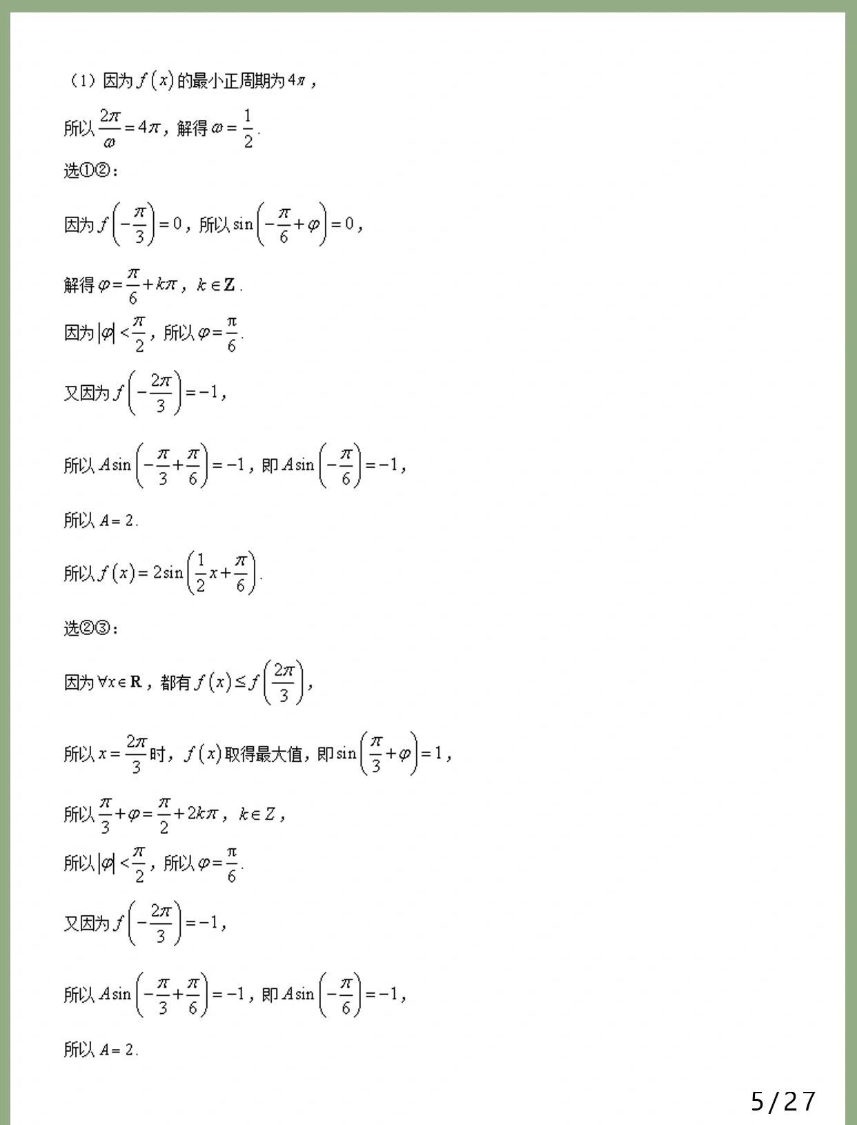
函数求最大值与最小值和公式
1、最大值函数=MAX起始单元格结束单元格,最小值函数=MIN起始单元格结束单元格函数名MAXMIN要大写一最大值函数MAX,1在编辑栏先输入=,每一个函数都要先输入=,接着输入函数MAX要大写,在函数中输入范围如下...
有哪些写少年意气风发的诗句
相逢意气为君饮,系马高楼垂柳边 译文新丰美酒一斗价值十千钱,出没五陵的游侠多是少年相逢时意气投合为君痛饮,骏马就拴在酒楼下垂柳边 4少年行四首其二 唐代王维 出身仕汉羽林郎,初随骠骑战渔阳 孰知不向边庭苦,纵死犹闻侠...
手机自己乱点怎么回事屏幕乱点的四大原因
1、1原因一建议查看手机是否最新下载安装了某第三方软件,有可能是软件与手机不兼容导致该现象,建议将其卸载尝试设定应用程序管理器选择已下载,卸载2原因二查看手机是否有贴膜,取下 手机膜 或手机保护套尝试3原因三如果没有...
tws耳机是什么意思什么是TWS耳机
1、TWS耳机,即真无线立体声耳机,已成为当今蓝牙耳机市场的一大趋势与传统蓝牙耳机不同,TWS耳机采用左右分离设计,每个耳机均可独立使用,无需通过线缆连接这种设计的优势引发了用户对TWS耳机配对模式的广泛关注2 配对...
灵魂摆渡黄泉评价怎么样?
影片的视觉效果堪称一流黄泉的阴森与神秘人间的繁华与喧嚣,都通过精美的画面和细腻的色调得到了完美的呈现同时,影片的音乐也极具感染力,无论是激昂的战斗音乐还是深情的抒情音乐,都与剧情紧密相连,为观众带来了更加沉浸式的观影...
儿童故事大全100篇推荐是什么
1 童话故事100篇 一松鼠和灰兔 松鼠从树上跳下来,到小溪边喝水灰兔从草丛中钻出,也到小溪边喝水松鼠一边摆动着毛茸茸的大尾巴,一边对灰兔说“你看,我的尾巴多么长,多么漂亮,这是世界上最好的尾巴!再看看你的尾巴,又短...
华为手机打电话怎么录音
1、华为手机微信通话自动录音方法如下1打开华为手机,进入“设置”应用2在设置中,找到并点击“应用设置”3在应用设置中,选择“系统应用设置”4在系统应用设置中,找到并点击“录音机”5在录音机设置中,找到“应用通话录音”...










京公网安备11000000000001号
京ICP备11000001号