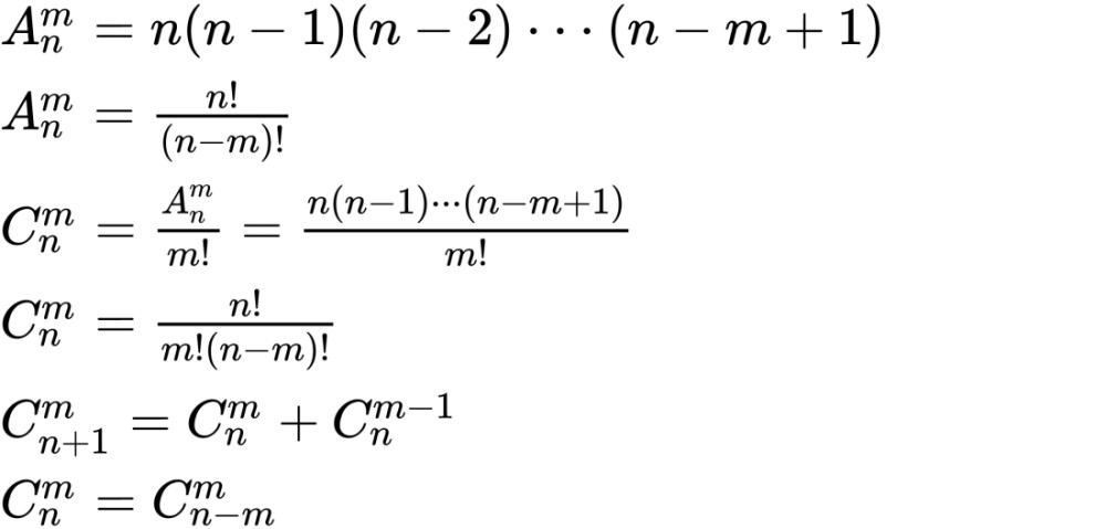
排列组合的基本公式如下排列数从n个中取m个排一下,有nn1n2nm+1种,即nnm组合数从n个中取m个,相当于不排,就是nnmm排列组合是数学运算的高频题型之一,在近几年的考试中连续出现排列组合所涉及的知识内容众多,部分试题可。
排列的公式是An = n^r,其中n是总元素数,r是要排列的元素数例如,如果有5个不同的球,我们要排列所有球,那么使用quotAnquot公式A5^5 = 5^52 quotCnquot组合公式当不需要考虑元素顺序或者选择的项目可以重复时,我们使用quotCnquot组合公式在这种情况下,我们从n个不同元素中选择r个元素进行组合。
quotCnquot公式也称为Combination当不考虑元素的顺序时,使用quotCnquot公式组合是指从给定的元素中选取一部分或全部进行组合,不考虑元素的顺序通常情况下,组合的元素个数少于原始给定的元素个数quotCnquot的公式表示为Cn = n!nr! * r!,其中n代表原始给定的元素个数,r代表需要组合的。
转载请注明来自德立,本文标题:《高中排列组合公式是什么?》

京公网安备11000000000001号
京ICP备11000001号
还没有评论,来说两句吧...