二阶混合偏导详细过程(可视化微积分多元函数和偏导数)

二阶混合偏导详细过程(可视化微积分多元函数和偏导数)

汝梅 2025-10-02 教程 13 次浏览 0个评论

偏导数就是 “只让一个变量动,其他变量统统固定不动” 情况下的导数。

可视化微积分:多元函数和偏导数

一、多元函数

二元函数

设有一个二元函数 z = f(x, y),独立变量x,y∈D

可视化微积分:多元函数和偏导数

域与值域:

可视化微积分:多元函数和偏导数

示例1

可视化微积分:多元函数和偏导数

可视化微积分:多元函数和偏导数

示例2

可视化微积分:多元函数和偏导数

示例3:

可视化微积分:多元函数和偏导数

三元函数

w= f(x, y,z),独立变量x,y,z∈D设一个三元函数

域与值域:

示例1

可视化微积分:多元函数和偏导数

示例2

空间中区域的内部、边界、开集、闭集、有界和无界等定义与平面中区域的定义类似。

可视化微积分:多元函数和偏导数

二、多元函数的极限和连续性

其偏导数衡量的是,当其中一个自变量发生变化而另一个自变量保持固定时,函数的变化率。

可视化微积分:多元函数和偏导数

二元函数的极限可视化微积分:多元函数和偏导数

二元函数的连续性

各个方向或路径趋近点(x0,y0)都是同一个极限,则函数在该点连续。

可视化微积分:多元函数和偏导数

各个方向或路径趋近点(x0,y0)的极限不相同,则函数在该点不连续。参见下例

可视化微积分:多元函数和偏导数

三、偏导数

二元函数的偏导数可视化微积分:多元函数和偏导数

1.1 关于 x 的偏导数,记为 ∂f/∂x 或 fₓ,其定义为:

可视化微积分:多元函数和偏导数

在点 (x₀, y₀) 处,我们固定 y = y₀,只让 x 产生一个微小的变化 h,然后观察函数值 f 的变化率。

可视化微积分:多元函数和偏导数

其几何意义是曲面 z = f(x, y) 被平面 y = y₀ 所截得的曲线在 x 方向的切线斜率。

1.2 关于 y 的偏导数,记为 ∂f/∂y 或 fy,其定义为:

可视化微积分:多元函数和偏导数

可视化微积分:多元函数和偏导数

固定 x = x₀,只让 y 变化,求函数的变化率。

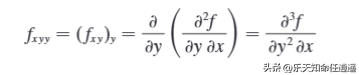
一阶偏导数本身也是函数,因此可以继续对它们求偏导,从而得到高阶偏导数。

二阶偏导数:对一个二元函数,共有四种二阶偏导数。

对 x 求两次: ∂²f/∂x² = fxx

对 y 求两次: ∂²f/∂y² = fyy

先对 x 求,再对 y 求: ∂/∂y (∂f/∂x) = ∂²f/∂y∂x = fxy

先对 y 求,再对 x 求: ∂/∂x (∂f/∂y) = ∂²f/∂x∂y = fyx

1.3 克莱罗定理 (Clairaut‘s Theorem)

如果函数 f 的两个二阶混合偏导数 fxy 和 fyx 在某个区域內是连续的,那么在该区域内必有:

fxy=fyx

即求导的顺序不影响结果。这个定理可以推广到更高阶的混合偏导数。比如三阶:

可视化微积分:多元函数和偏导数

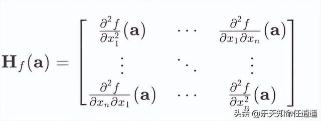
1.4二阶可微性

函数 f在点 a 处是二阶可微的,如果:

(1)f 在 a 的一个邻域内所有点都是一阶可微的(即所有一阶偏导数都存在)。

(2)由一阶偏导数构成的梯度映射x↦∇f(x) 本身在点 a 处是可微的。

这意味着梯度函数 ∇f的变化本身也是线性的。

这个衡量梯度函数变化率的线性映射的矩阵,就是著名的 Hessian 矩阵 Hf(a):

可视化微积分:多元函数和偏导数

因此,梯度映射 ∇f在点 a 处的微分就是 Hessian 矩阵。

其线性逼近式为:

∇f(a+h)=∇f(a)+Hf(a)h+o(||h||)

特别注意和雅可比矩阵的区别:

(1)Jacobian是“一阶导数的集合”,而Hessian是“二阶导数的集合”。

(2)对于标量函数,它的梯度(一阶信息)由Jacobian的行向量表示,用于最佳线性逼近、坐标变换:而它的曲率(二阶信息)则由Hessian矩阵表示,描述曲率、判别极值。

(3)Jacobian矩阵通常不对称;Hessian矩阵具有对称性

多元函数的偏导数

n阶偏导数:二阶偏导数的偏导数称为三阶偏导数。

例如:

可视化微积分:多元函数和偏导数

高阶偏导数 (Higher-Order Partial Derivatives)

可视化微积分:多元函数和偏导数

依此类推,可以定义三阶、四阶乃至任意n阶的偏导数(例如 ∂³f/∂x³, ∂³f/∂x²∂y等

可视化微积分:多元函数和偏导数

极限与连续性

极限:多元函数的极限要求动点 P 以任何路径、任何方式趋向于点 P₀ 时,函数值 f(P) 都趋向于同一个常数 L。这比一元函数的极限要复杂得多。

连续性:如果函数在点 P₀ 的极限值等于该点的函数值,则称函数在 P₀ 点连续。

重要关系:

可偏导 ≠连续。即使函数在某点各个方向都可偏导,它在这一点也可能不连续。

可微 =可偏导且连续。

偏导数连续 →可微 (这是一个非常常用的充分条件)

可微是一个更强的条件,它要求函数在该点的全增量可以表示为一个线性主部加上一个比距离更高阶的无穷小,这保证了函数在该点有切平面,并且各个方向的变化率行为良好。

一个函数是 k-阶可微的,如果它的所有 (k−1)-阶偏导数都存在并且自身是可微的函数。

函数 f 在点 a 处是 k-阶可微的(k≥2),如果:

(1)f在 a 的一个邻域内所有点是 (k−1)-阶可微的。

(2)所有 (k−1)-阶偏导数函数本身在点 a 处是可微的。

C^k光滑性 (CkCk-Smoothness)

这是一个比“可微”更强的概念,在实际应用中更为常见。

函数 f被称为在区域 D 上是 C^k 类函数(或 k-次连续可微),如果:

f的所有 m-阶偏导数(对于所有 m≤k)不仅在 D 上存在,而且它们自身是连续函数。

我们有以下分类:

C°: 连续函数。

C¹: 一阶偏导数存在且连续。

C²: 所有一阶和二阶偏导数存在且连续。

⋮⋮

C^∞: 任意阶偏导数都存在且连续(称为光滑函数)

可微性是一个点的性质,关注的是函数在该点附近的局部线性逼近能力。

C^k 是一个区域的性质,强调偏导数作为一种函数本身的连续性和光滑程度。

链式求偏导规则可视化微积分:多元函数和偏导数

偏微分方程(拉普拉斯方程和波动方程)可视化微积分:多元函数和偏导数

克莱罗定理:秩序的保证者!

克莱罗定理是一个关于函数光滑性(smoothness)的普适性性质(property),而拉普拉斯方程是一个施加在函数上的特定条件(condition)或约束(constraint)。

它们是截然不同的两个概念。

可视化微积分:多元函数和偏导数

克莱罗定理说的是:如果一个函数是足够光滑的(具体指其二阶混合偏导数连续),那么它的混合偏导数求导顺序可以交换。

若 f∈C², 则 fxy=fyx

它是一个“如果-那么”命题:它描述的是当一个函数满足某种光滑性条件时,其内部必然具有的一种数学性质。

它不要求函数做任何事:它只是告诉你,一个已经足够光滑的函数,其偏导数具有对称性。函数本身可以是你能想象到的任何形式(多项式、三角函数、指数函数等),只要它足够光滑,这个性质就成立。

它关乎的是“秩序”:它保证了微积分世界中的“秩序”,确保我们在计算高阶导数时不会因为顺序不同而得到混乱的结果。

可以把克莱罗定理想象成交通规则:“如果”你在一条设计良好的公路上开车,“那么”无论你先左转再右转,还是先右转再左转,最终到达的目的地是一样的。这个规则本身不是目的地,而是关于道路系统的一个性质。

可视化微积分:多元函数和偏导数

拉普拉斯方程:一个特定的“筛选器”

拉普拉斯方程说的是:找到一个函数,使得它的二阶纯偏导数之和在所有点上为零。

Δf=fxx+fyy+fzz=0

它是一个“方程”:它是一个需要被求解的问题。它不是一个自动成立的性质,而是一个很高的门槛。

它对函数施加了极强的约束:绝大多数函数都不满足这个方程。只有非常特殊的一类函数(称为调和函数)才是它的解。

它关乎的是“筛选”:它在所有可能的光滑函数中,筛选出那些在每一点的局部表现都像是一个“平均值”(即满足均值性质)的特殊函数。

继续用比喻:拉普拉斯方程不是一个交通规则,而是一个特定的目的地,比如“山顶”。它在问:“哪些路径可以通往山顶?” 而克莱罗定理是保证你在研究所有路径时,先研究东西方向还是先研究南北方向,都不会影响你对路径陡峭程度的结论。

克莱罗定理是规则,它保证了游戏可以公平地进行。

拉普拉斯方程是游戏的目标本身。

转载请注明来自德立,本文标题:《二阶混合偏导详细过程(可视化微积分多元函数和偏导数)》

每一天,每一秒,你所做的决定都会改变你的人生!

发表评论

快捷回复:

评论列表 (暂无评论,13人围观)参与讨论

还没有评论,来说两句吧...