最小二乘法介绍(最小二乘法的解释和例子)

最小二乘法介绍(最小二乘法的解释和例子)

米依秋 2025-12-09 游戏 2 次浏览 0个评论

最小二乘法的解释和例子

最小二乘是一种找到逼近一组数据的最佳直线的方法。

特别地,最小二乘寻求使每个数据点与预测值之间的差的平方最小化。这是一种线性回归,在工程和统计上应用广泛。

最小二乘法的解释和例子

什么是最小二乘法?

最小二乘法寻求找到一条最接近一组数据的直线。 在这种情况下,“最佳”是指预测值和实际值之间的差的平方和最小的一条线。

为什么要用平方呢? 为什么不直接找到这些问题中预测值和实际值的差值之和呢?

在某些情况下,预测值会大于实际值,在某些情况下,预测值会小于实际值。 然而,在这两种情况下,预测值都是不准确的。

不过,只要找出差异,就会得到正负两种值的混合结果。 因此,仅仅把这些加起来并不能很好地反映两个值之间的实际位移。

最小二乘法的解释和例子

然而,平方数总是正的。 因此,把这些加在一起可以更好地了解最佳拟合线的精度。

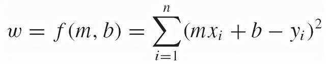
最小二乘法使用一个特定的公式来求直线y=mx+b,使这个和最小。 实际上就是要找到一对m,b 的值,使得各点(x1, y1), (x2, y2), . . . , (xn, yn) 的纵坐标的平方和最小:

最小二乘法的解释和例子

求解上述最小值时的m, b就得出直线y=mx+b。

最小二乘法的定义

.

最小二乘法是一种寻找一条线来近似一组数据的方法,它使预测值和实际值之间的差的平方和最小。

这条直线的形式是y=b+mx,其中m和b是使用给定数据集的x和y值计算的。

最小二乘法的公式

最小二乘方法的目标是找到一条方程y=mx+b的直线,最接近数据。 这有时被称为最适合直线。

在这里,“最佳”意味着实际数据点和它们的预测值在直线上的差的平方和是最小的。 因此,有了“最小二乘”这个名字。

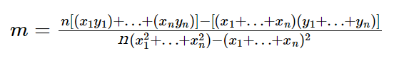
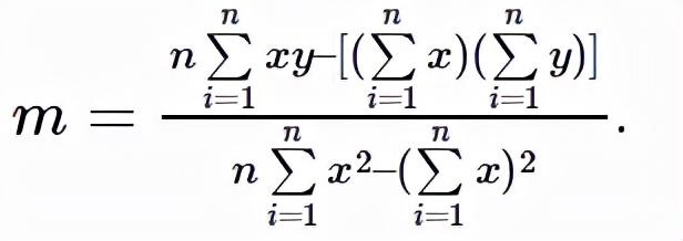
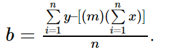
对于点为(x1,y1),…,(xn,yn)的一组数据,这条最小二乘线是y=mx+b,其中m和b如下所示:

因为:y=mx+b, 对于拟合的x 和 y有:

最小二乘法的解释和例子

最小二乘法的解释和例子

根据这两个方程解出m, b:

最小二乘法的解释和例子

这等效于:

最小二乘法的解释和例子

并且:

最小二乘法的解释和例子

证明上述公式就是满足最小差平方和,需要用微积分的知识,在此省略。

例子

这一节涵盖了涉及最小二乘的常见问题的例子以及它们的逐步解决方案。.

问题:考虑以下10组数据,用最小二乘法来拟合一条直线。

最小二乘法的解释和例子

根据给定的数据计算:

最小二乘法的解释和例子

带入公式得出:

m=0.677,

b=3.0026

即直线方程为: y=3.0026+0.677x

最小二乘法的解释和例子

转载请注明来自德立,本文标题:《最小二乘法介绍(最小二乘法的解释和例子)》

每一天,每一秒,你所做的决定都会改变你的人生!

发表评论

快捷回复:

评论列表 (暂无评论,2人围观)参与讨论

还没有评论,来说两句吧...