4夜曲“狼牙月,伊人憔悴,我举杯,饮尽了风雪”,这首歌曲将我们带入了一个充满诗意的世界5告白气球“让我连夜把爱写成诗篇,只为了换你一个浅浅的回眸”,这首歌曲充满了浪漫的气息6等你下课“我给你的爱写在西元前,深埋在美索不达米亚平原”,这首歌曲表达了周杰伦对爱情的独特见解7;密码 c6bf 已赞过 已踩过lt 你对这个回答的评价是? 评论 收起 1条折叠回答 其他类似问题20180520 求周杰伦with杨瑞代 等你下课 MP3百度云盘资源 20180610 等你下课下载,百度云 20180325 求周杰伦 等你下课 MP3百度云盘资源 20180204 等你下课 下载 谁有链接 20180627 求周杰伦等你。
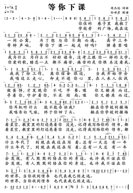
而这首歌曲的mp3版本更是成为了广大听众们的必备歌曲无论是在上下班路上学习时还是闲暇时光,都可以随时随地地欣赏这首歌曲而这首歌曲的mp3版本也是极其便捷的,只需要一个手机或一台电脑,就可以随时随地播放总之,周杰伦的等你下课是一首经典的校园恋曲,其优美的旋律和动人的歌词,以及;等你下课是由周杰伦作词作曲,周杰伦与杨瑞代共同演唱的一首歌曲该曲在2018年1月18日零点在 Apple Music网易云音乐虾米音乐音乐酷狗音乐平台发布 歌曲主打校园纯情风,歌词则阐述年轻人暗恋女孩,苦苦追求每天等对方下课的心情1 周杰伦在七天内完成配唱音乐制作歌词版MV;1歌词等你下课描绘了一个人为了接近心仪的对象而租住在她所在的巷子里,却始终未能鼓起勇气表白的校园爱情故事歌词中表达了对过去错过的机会的后悔,以及对未来可能性的渴望2这首歌曲由周杰伦创作,他不仅谱曲还参与填词,并与杨瑞代携手演唱歌曲等你下课于2018年1月18日正式发布,作为;周杰伦等你下课歌词词周杰伦 曲周杰伦 编曲周杰伦 等你下课走来 教室有些喧哗 熙熙攘攘的课间 校园里的青春气息,仿佛都在等待你的脚步心跳声随着钟声响起,期待着你的身影出现在教室的窗前操场边我的单车随风等候 情深深 雨濛濛 彷徨的青春印记歌声飘荡在青春的空气中,旋律里充满了。
我的 跪求周杰伦等你下课百度云链接 谢谢谢谢非常感谢 谢谢谢谢非常感谢 展开 #xE768 我来答 分享 新浪微博 空间 举报 可选中1个或多个下面的关键词,搜索相关资料也可直接点“搜索资料”搜索整个问题 周杰伦 下课 百度 搜索资料 忽略 提交回答 匿名 回答自动保存中为你推荐特别推荐 如真有龙,它的飞行原理是什么? 古代的夏;跟你一块去园游会捞鱼,跟你一起去塞纳河畔喝咖啡你的温柔像羽毛,你的微笑像拥抱下雨天,一起跟你去屋檐下躲雨跟你一起吃糖果,记录我们回忆的甜刮风天,我会一直握着你手现在就这样一直等你下课 谢谢,感谢相遇有人感慨最美的年纪最没能力的时候遇见了最想照顾的女孩,可是;歌曲表达了暗恋的痛苦和无奈,但这种痛苦并不在于主人公自己,而在于你是否察觉他的心意主人公选择默默守候,不求结果,只愿在人海中找到你,守护你歌曲风格整首歌的旋律悠扬动听,歌词深情而细腻,展现了周杰伦和杨瑞代出色的音乐才华歌曲意义等你下课不仅是一首讲述暗恋故事的歌曲,更是一;周杰伦的歌曲等你下课with 杨瑞代是一首充满校园情怀的歌曲,歌词描绘了一个年轻人暗恋女主角,为了能与她偶遇,不惜改变生活轨迹,甚至在她学校附近工作,用心制作早餐歌曲通过杰伦和Gary的合唱,传达出对爱情的默默守候和不求回报的情感这首歌曲在2018年1月18日发布,短短时间内就在各大音乐;我弹着琴,唱你爱的歌暗恋并不痛苦,一点也不痛苦痛苦的是你,从未看过我我唱得这么走心,这么走心,却走不进你的心在人来人往中,我寻找着你,守护着你,不求结局等你下课是周杰伦作词作曲,由周杰伦和杨瑞代共同演唱的歌曲该曲于2018年1月18日以单曲形式发布,后收录于周杰伦。
周杰伦等你下课的歌词如下你住的,巷子里我租了一间公寓,为了想与你不期而遇高中三年,我为什么,为什么不好好读书,没考上跟你一样的大学我找了份工作,离你宿舍很近当我开始学会做蛋饼,才发现你不吃早餐,喔,你又擦肩而过,你耳机听什么能不能告诉我,躺在你学校的操场;我在这等钟声响 等你下课一起走好吗 Jay弹着琴, 唱你爱的歌 暗恋一点都不痛苦 Gary一点都不痛苦 Jay痛苦的是你 合根本没看我 Jay我唱这么走心 Gary这么走心 Jay却走不进你心里 Gary进你心里 Jay在人来人往 合找寻着你 ,守护着你,不求结局 合喔 Gary你又擦肩。
转载请注明来自德立,本文标题:《求周杰伦等你下课mp3百度云,谢谢》



京公网安备11000000000001号
京ICP备11000001号
还没有评论,来说两句吧...