首页
财经
理财
科技
手机
电脑
数码
智能
游戏
硬件
系统
教程
科学
您现在的位置:
首页
手机
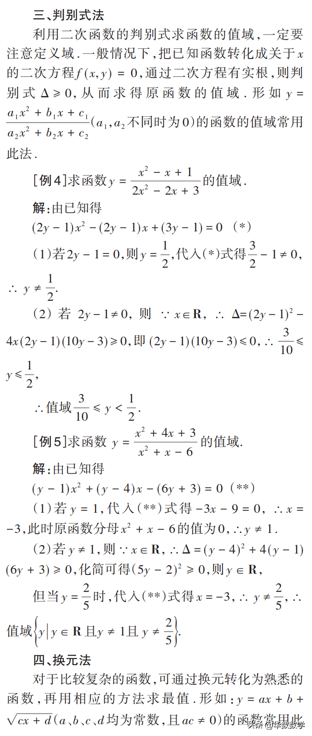
值域怎么求(求函数值域最全的方法)
adminqwq
管理员
文章
75845
浏览
626435
搜索
«
2025年11月
»
一
二
三
四
五
六
日
1
2
3
4
5
6
7
8
9
10
11
12
13
14
15
16
17
18
19
20
21
22
23
24
25
26
27
28
29
30
值域怎么求(求函数值域最全的方法)
老俊驰
2025-10-11
手机
13 次浏览
0个评论
转载请注明来自
德立
,本文标题:
《值域怎么求(求函数值域最全的方法)》
本文标签:
值域怎么求
老俊驰
33篇文章
站点
微博
每一天,每一秒,你所做的决定都会改变你的人生!
相关分类文章
发表评论
取消回复
快捷回复:
评论列表
(暂无评论,
13
人围观)
参与讨论
还没有评论,来说两句吧...
文章目录
还没有评论,来说两句吧...