方差是什么意思(什么是方差)

方差是什么意思(什么是方差)

长孙翰音 2025-11-01 智能 12 次浏览 0个评论

什么是方差(Variance)?

方差和标准差是测度数据变异程度的最重要、最常用的指标。

方差是各个数据与其算术平均数的离差平方和的平均数,通常以σ2表示。方差的计量单位和量纲不便于从经济意义上进行解释,所以实际统计工作中多用方差的算术平方根——标准差来测度统计数据的差异程度。

标准差又称均方差,一般用σ表示。方差和标准差的计算也分为简单平均法和加权平均法,另外,对于总体数据和样本数据,公式略有不同。

方差的计算公式

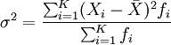
设总体方差为σ2,对于未经分组整理的原始数据,方差的计算公式为:

什么是方差?

对于分组数据,方差的计算公式为:

什么是方差?

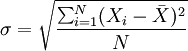
方差的平方根即为标准差,其相应的计算公式为:

未分组数据:

什么是方差?

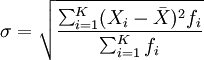
分组数据:

什么是方差?

样本方差和标准差

样本方差与总体方差在计算上的区别是:总体方差是用数据个数或总频数去除离差平方和,而样本方差则是用样本数据个数或总频数减1去除离差平方和,其中样本数据个数减1即n-1称为自由度。设样本方差为

什么是方差?

,根据未分组数据和分组数据计算样本方差的公式分别为:

未分组数据:

什么是方差?

分组数据:

什么是方差?

未分组数据:

什么是方差?

分组数据:

什么是方差?

例:考察一台机器的生产能力,利用抽样程序来检验生产出来的产品质量,假设搜集的数据如下:

3.433.453.433.483.523.503.393.483.413.383.493.453.513.50

根据该行业通用法则:如果一个样本中的14个数据项的方差大于0.005,则该机器必须关闭待修。问此时的机器是否必须关闭?

解:根据已知数据,计算

什么是方差?

什么是方差?

因此,该机器工作正常。

方差和标准差也是根据全部数据计算的,它反映了每个数据与其均值相比平均相差的数值,因此它能准确地反映出数据的离散程度。方差和标准差是实际中应用最广泛的离散程度测度值。

数据分析网编辑:数据小博士

什么是方差?

数据分析网(www.afenxi.com),国内领先的大数据门户,旨在帮助大数据从业人士、爱好者提供大数据新闻资讯、前沿技术、业界观点的信息平台。

转载请注明来自德立,本文标题:《方差是什么意思(什么是方差)》

每一天,每一秒,你所做的决定都会改变你的人生!

发表评论

快捷回复:

评论列表 (暂无评论,12人围观)参与讨论

还没有评论,来说两句吧...