叉乘的结果是一个向量,垂直于原始两个向量的平面 叉乘的计算公式为a× b = a b sinθ n 其中,a和b分别表示向量a和向量b的模长长度,θ表示a与b之间的夹角,n表示单位向量,垂直于a和b所在的平面方向 平面向量数字积 要快速掌握向量乘积的概念和计算方法,可以按照以下步骤进行学习 1 理解向量的基本概念。
向量a乘以向量b=向量a得模长乘以向量b的模长乘以cosαα为2个向量的夹角向量ax1,y1向量bx2,y2,向量a乘以向量b=x1*x2,y1*y2定义向量a*b=绝对值里面的向量a*绝对值里面的向量b*cos两个向量的夹角=两个向量的模*两个向量夹角的余弦两个向量a和b的向量。
向量的乘法分为数量积和向量积两种对于向量的数量积,计算公式为A=x1,y1,z1,B=x2,y2,z2,A与B的数量积为x1x2+y1y2+z1z2对于向量的向量积,计算公式为A=x1,y1,z1,B=x2,y2,z2,则A与B的向量积为。
向量c=向量a×向量b=absin 向量c的方向与a,b所在的平面垂直,且方向要用“右手法则”判断用右手的四指先表示向量a的方向,然后手指朝着手心的方向摆动到向量b的方向,大拇指所指的方向就是向量c的方向因此 向量的外积不遵守乘法交换率,因为 向量a×向量b=向量b×向量a 在物。
数量积定义两个向量A=和B=的数量积是指它们的对应坐标分量乘积的和计算公式A·B = x1x2 + y1y2结果数量积的结果是一个标量,表示两个向量在方向上的相似程度以及它们的大小乘积的投影向量积定义两个向量A和B的向量积是一个垂直于这两个向量的新向量,其大小等于这两个向量。
向量相乘有两种方式,即内积数量积和外积叉积对于内积,计算公式如下1对于二维向量A=x1,y1,B=x2,y2,A与B的内积数量积为x1x2+y1y2对于三维向量A=x1,y1,z1,B=x2,y2,z2,A与B的内积数量积为x1x2+y1y2+z1*z2内积的。
二向量点积内积定义两个向量a=x#8321, y#8321和b=x#8322, y#8322的点积是一个标量,记作a·b,计算公式为a·b = x#8321x#8322 + y#8321y#8322二维向量推广到n维向量a=a#8321, a#8322a#8345和b=b#8321, b#。
坐标计算若向量a的坐标为,向量b的坐标为,则它们的数量积可以通过坐标直接计算,公式为a·b = x1 × x2 + y1 × y2几何意义数量积的结果是一个标量,它等于两个向量的模与它们之间夹角的余弦的乘积这个值反映了两个向量在方向上的相似程度,若两向量同向,则数量积为正若反向,则为负若垂直,则为0注意向量之间的这种运算不称为“乘积”,而是称为“。
向量的模相乘公式是a·b=abcosθ向量AB的长度叫做向量的模,记作|AB或|a向量的模的运算没有专门的法则,一般都是通过余弦定理计算两个向量的和差的模多个向量的合成用正交分解法,如果要求模一般需要先算出合成后的向量模是绝对值在二维和三维空间的推广,可以认为就是向量的。
即向量a?向量b = x1 * x2 + y1 * y2这种形式不涉及角度的计算,直观地展示了向量在坐标平面上的投影的乘积这两种形式在本质上是等价的,都是用来衡量两个向量在空间中的相互作用强度或它们在方向上的相似性这个运算在几何学物理学和线性代数中都有广泛应用。
两个坐标向量相乘是a*b=x1x2+y1y2=abcosθ一般向量之间不叫乘积,而叫数量积,如a*b叫做a与b的数量积或a点乘b平面向量是在二维平面内既有方向direction又有大小magnitude的量,物理学中也称作矢量,与之相对的是只有大小没有方向的数量标量平面向量用a,b,c上面加一个。
公式右侧的向量 a2b3 a3b2, a3b1 a1b3, a1b2 a2b1 即为a和b的向量积这个公式表示了两个向量相乘所得到的第三个向量,其方向垂直于a和b所在的平面,大小等于ab两向量张成的平行四边形的面积空间向量乘积也可以用矩阵形式表示,即a × b = i j k a1 a2 a3。
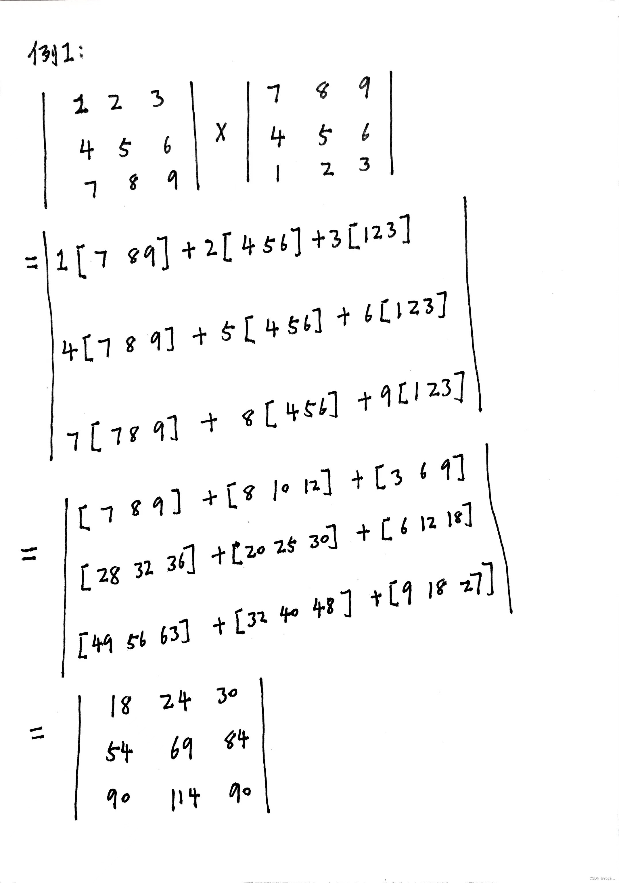
向量A乘以向量B 的结果有以下三种1向量a 乘以 向量b = 向量a得模长 乘以 向量b的模长 乘以 cosα α为2个向量的夹角2向量ax1,y1 向量bx2,y23向量a 乘以 向量b =x1*x2,y1*y2注意所有的乘法运算均为点乘。
如果向量a的坐标为x1,y1,z1,数k为一个常数,则向量a与数k的数乘为k·a=kx1,ky1,kz1数乘的结果是改变向量的长度,但不改变向量的方向2向量的点乘,也叫向量的内积或数量积,是两个向量相乘的运算,结果是一个数如果向量a的坐标为x1,y1,z1,向量b的坐标为x2,y2。
公式向量积的运算结果是一个向量,其大小等于两个向量构成的平行四边形的面积,方向垂直于这两个向量所构成的平面,遵循右手定则意义向量积在物理学和工程学中有着广泛的应用,如计算力矩电磁场的叉乘等它揭示了向量之间的空间关系,特别是它们如何相互垂直和构成面积总结向量相乘包括数量积。
转载请注明来自德立,本文标题:《两向量相乘的计算公式》

京公网安备11000000000001号
京ICP备11000001号
还没有评论,来说两句吧...