二的立方是多少(解方程)

二的立方是多少(解方程)

繁乐芸 2025-10-18 财经 8 次浏览 0个评论

解方程:三次根号二百零四加x加三次根号二十减x等于八。

你想想如何解每一个三次公式方程?第二次根式方程有一个最简单的、最基本的方法就是移向平方去根号,大多数还是可以实行的。但是对于三次根式方程,如果要移向立方去根号就显然是太复杂了,这个方法一般不用。

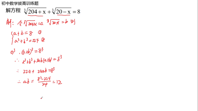
对于这道题到底应该采取怎样的方法?来看根号里面的式子:二百零四加x和二十减x有没有关系?发现它们的和正好等于二百二十四,是一个常数,也就是它的立方加它的立方等于二百二十四。

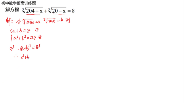
就想到了花园法,利用三次根号二百零四加x等于a,还有三次根号二十减x等于一个b,就会有得到a加b等于八,还有a的立方加上b的立方就等于二百二十四。然后就求出a和b的值再去求x,由a加b等于八,这个是一式,这个是二式。

解方程,难度特别大,试试这方法。

把一式的立方,一是立方会有a加b括号的立方是等于八的立方,所以a加b括号的立方等于什么?等于a立方加b立方加上一个三a平方b加上一个三ab平方,也就是加上一个三ab括号乘以a加b等于八的立方,而a立方加b立方等于二百二十四。

解方程,难度特别大,试试这方法。

所以由二百二十四加上三ab乘以a加b加b是八,三八二十四加上有二十四倍的ab等于八的地方。然后把ab算上去,算一下ab等于多少?ab等于八的立方减去一个二百二十四再除上一个二十四等于多少?大家算一下,等于十二,这个是等于一个十二。

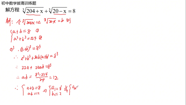
大家可以自己再算一下,十二可以约分八的地方,可以约掉一个八是八的平方,二十四除以八是一个三,二百二十四也可以除以八,二百二十四除以八是多少?二十八,六十四减二十八,三十六除以刚才这个三正好是十二,a b等于十二,a b等于十二,a 加b是等于八的对不对?连的a加b等于八和a b等于十二来去求出a和b,这个方式就很容易解了。

解方程,难度特别大,试试这方法。

具体过程就不展示了,大家应该可以用解一元二次方程的方法求出来,应该是两个值,a和b的值,a和b,a等于六,b等于二或者是a等于二,b等于六,两个值。然后再去求x,带入把b带到三次根号二十减三。把b带到这里头来算,x比较容易些,b有两个值等于二或者是六号。

解方程,难度特别大,试试这方法。

·第一种情况就是当三四根号二十减x等于二的时候去求x,这个方程就是两边立方有二十减x等于二的立方是八,所以x1等于十二。

·第二种情况是当三次根号二十减x等于六的时候去求两边立方二十减x等于六的立方二百一十六,六的立方三十六乘以六六六,三十六,二百一十六,所以x2等于多少?等于二十减二百一十六,负的一百九十六。

所以x的值是有两个值,一个是十二,一个是负的一百九十六。

转载请注明来自德立,本文标题:《二的立方是多少(解方程)》

每一天,每一秒,你所做的决定都会改变你的人生!

发表评论

快捷回复:

评论列表 (暂无评论,8人围观)参与讨论

还没有评论,来说两句吧...