sin30度是多少(整数度数的三角函数)

sin30度是多少(整数度数的三角函数)

藏星华 2025-10-03 科学 12 次浏览 0个评论

我一直以为只有 3° 的整数倍的角的三角函数才有解析解,直到我看到这个url:

整数度数的三角函数

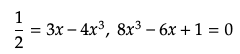
根据三倍角公式

整数度数的三角函数

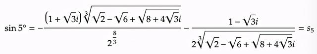
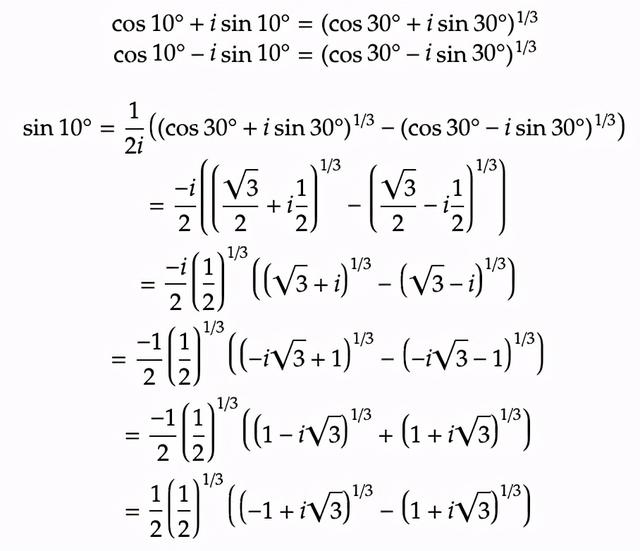
解这个一元三次方程,得到

整数度数的三角函数

这是一个用复数表示的实数。

实际上,sin30°=1/2,为什么不算sin10°呢?

整数度数的三角函数

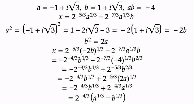
这有三个实根,我要的那个是

整数度数的三角函数

化简一下:

整数度数的三角函数

好吧,至少比sin5°稍简。

我好像傻了,

整数度数的三角函数

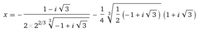
实际上:

整数度数的三角函数

感觉自己受骗了。如果这种东西也算是解析解的话,那么

整数度数的三角函数

岂不是更简练?

最后结论:非3倍度数还是没有解析解的。那个带i的带1/3开方的不能算解析解。

bookaa 原创。

转载请注明来自德立,本文标题:《sin30度是多少(整数度数的三角函数)》

每一天,每一秒,你所做的决定都会改变你的人生!

发表评论

快捷回复:

评论列表 (暂无评论,12人围观)参与讨论

还没有评论,来说两句吧...