可微可导的关系(多元函数连续可导可微之间的复杂关系解读)

可微可导的关系(多元函数连续可导可微之间的复杂关系解读)

邢宏硕 2025-10-04 科技 11 次浏览 0个评论

首先是一元函数的连续性:

多元函数连续可导可微之间的复杂关系解读

一元函数如果某一点的左右极限不相等,则该点不连续:

多元函数连续可导可微之间的复杂关系解读

然后是连续与可导的关系:

多元函数连续可导可微之间的复杂关系解读

但是连续不一定可导:

多元函数连续可导可微之间的复杂关系解读

图1

上图的函数是连续的,但由于左右导数不相等,所以不可导。

再看可导与可微的关系:

多元函数连续可导可微之间的复杂关系解读

从上图可以看出,只要某一点的导数存在,这一点的微分就存在,所以一元函数的可导性与可微性是一致的。

对于多元函数来说就比较复杂了。

多元函数连续可导可微之间的复杂关系解读

图2

上图是多元函数连续可导可微之间的关系图。图中的可导是指偏导数存在。

上图有四组相互之间的关系,下面逐一讨论。

第一:函数连续与可导之间的关系。

函数连续的定义:

多元函数连续可导可微之间的复杂关系解读

这组关系已经在《从导数的意义理解多元函数的偏导数存在性与连续性为何无关》一文中详细讨论过,也就是说,多元函数连续与可导之间互相无关。

关于这个结论得出来的原因,我们大概可以记住下面两个图就可以了:

多元函数连续可导可微之间的复杂关系解读

图3

由于多元函数趋近某个点的方向任意性,导致某个函数不连续但却在这一点可导。

多元函数连续可导可微之间的复杂关系解读

图4

上面这个图表示这个圆锥的顶点连续,但在yoz的截面却像图1 一样没有导数,说明多元函数连续不一定可导。

第二:函数连续与可微之间的关系。

函数可微的定义:

多元函数连续可导可微之间的复杂关系解读

考察函数连续与可微的关系:

多元函数连续可导可微之间的复杂关系解读

上图的意思很简单,微分表达式表示的就是当xoy平面上两点A,B无限趋近的时候,与之相对应的曲面上两点的高度变化也趋近于0,而这个结论正好说明函数连续。

所以可微一定连续。

多元函数连续可导可微之间的复杂关系解读

图5

多元函数连续可导可微之间的复杂关系解读

由于全微分可以表示为

多元函数连续可导可微之间的复杂关系解读

图6

由上式可以看出,微分由偏导数表示,但函数连续与函数可导无关,所以

函数连续不一定可微。

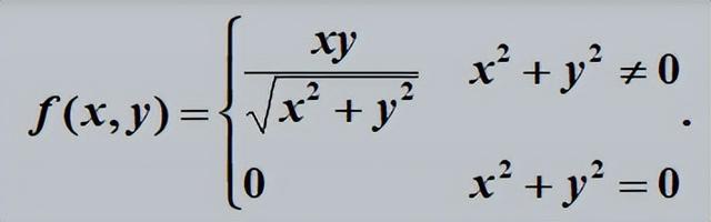
第三:函数可微与可导之间的关系。

多元函数连续可导可微之间的复杂关系解读

多元函数连续可导可微之间的复杂关系解读

多元函数连续可导可微之间的复杂关系解读

图7

上述证明过程还是说明由于二元函数方向性的存在,导致

函数可导不一定可微。

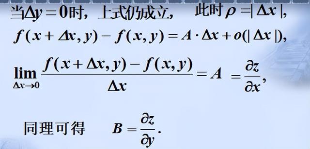
由于全微分一定可以由偏导数表示:

如果函数z=f(x,y)在点

多元函数连续可导可微之间的复杂关系解读

多元函数连续可导可微之间的复杂关系解读

多元函数连续可导可微之间的复杂关系解读

所以函数在某点可微一定在这一点有偏导数,也就是可导。

函数可微一定可导。

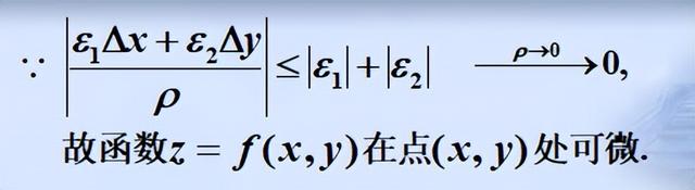
第四:函数偏导数连续与可微之间的关系。

首先,由前述看出,函数可微只能推出函数在该点的偏导数存在,并不能推出该点的偏导数连续,所以

函数可微不一定偏导数连续。

多元函数连续可导可微之间的复杂关系解读

多元函数连续可导可微之间的复杂关系解读

多元函数连续可导可微之间的复杂关系解读

多元函数连续可导可微之间的复杂关系解读

图8

多元函数连续可导可微之间的复杂关系解读

上述证明的过程中用到了偏导数的连续性,也就是说,如果偏导数不连续,上面的证明就不成立,所以,函数可微一定要求函数的偏导数连续。

由此得到:

函数某点的偏导数连续,则必然可微。

通过以上的证明过程,我们如果要比较牢固地把握图2中多元函数连续可导可微与偏导数连续之间的相互关系,就需要理解并掌握图1、图3、图4、图5、图6、图7和图8表示的意思。

综合以上:

1:对于一元函数来说,可导一定连续,但连续不一定可导。而一元函数的可导与可微是统一的。

2:大部分是由于多元函数的方向性,导致了多元函数连续可导可微之间的复杂关系。

转载请注明来自德立,本文标题:《可微可导的关系(多元函数连续可导可微之间的复杂关系解读)》

每一天,每一秒,你所做的决定都会改变你的人生!

发表评论

快捷回复:

评论列表 (暂无评论,11人围观)参与讨论

还没有评论,来说两句吧...