绝对值三角不等式定理是什么(高中数学专题4不等式五绝对值三角不等式专题)

绝对值三角不等式定理是什么(高中数学专题4不等式五绝对值三角不等式专题)

腾寻雪 2025-10-22 智能 6 次浏览 0个评论

每日分享高中数学题型、方法、微专题……

(每期答案见下期)

绝对值三角不等式专题

「高中数学专题」4.不等式(五)绝对值三角不等式专题

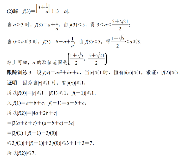
题型探究

「高中数学专题」4.不等式(五)绝对值三角不等式专题

「高中数学专题」4.不等式(五)绝对值三角不等式专题

「高中数学专题」4.不等式(五)绝对值三角不等式专题

「高中数学专题」4.不等式(五)绝对值三角不等式专题

练习题

「高中数学专题」4.不等式(五)绝对值三角不等式专题

答案见下期,不要着急,先做一下再看哦

上期 4.不等式(四)基本不等式常见题型与解题技巧 答案

「高中数学专题」4.不等式(五)绝对值三角不等式专题

「高中数学专题」4.不等式(五)绝对值三角不等式专题

转载请注明来自德立,本文标题:《绝对值三角不等式定理是什么(高中数学专题4不等式五绝对值三角不等式专题)》

每一天,每一秒,你所做的决定都会改变你的人生!

发表评论

快捷回复:

评论列表 (暂无评论,6人围观)参与讨论

还没有评论,来说两句吧...